Skip to content Skip to sidebar Skip to footer

Diketahui Volume Kubus 8000 Cm Maka Panjang Rusuk Kubus Adalah - Left 10right Tentukan V Descubre Como Resolverlo En Qanda - V = s x s x s.

Diketahui Volume Kubus 8000 Cm Maka Panjang Rusuk Kubus Adalah - Left 10right Tentukan V Descubre Como Resolverlo En Qanda - V = s x s x s.. Diketahui volume balok = 72 cm³,. Panjang diagonal ruang kubus = 6 cm = jadi panjang sisi kubus atau s adalah 2√3 cm. V = 5 x 5 x 5. Jadi, panjang rusuk kubus tersebut adalah 5 cm. Kalau panjang rusuk sudah diketahui, anda sudah bisa mencari volume kubus menggunakan rumus biasa.

Mencari akar pangkat tiga dengan mengidentifikasi bilangan satuannya. Dalam contoh soal, √8,33 kurang lebih adalah 2,89 cm. Jika volume air di dalam akuarium tersebut adalah 31.080 cm³, tentukan. Di ketahui sebuah volume kubus adalah 1331 cm 3 tapi panjang dari rusuk kubus tersebut belum ada , maka kalian harus mencari berapa kah panjang rusuk dari kubus tersebut ? Sekarang giliran untuk mendapatkan volumenya, tinggal masukkan nilai rusuk ke dalam rumus volume dan selesai.

Warga Desa Arjosari Bergotong Royong Membuat Bak Penampungan Air Hujan Berbentuk Kubus Siswapelajar Com
Warga Desa Arjosari Bergotong Royong Membuat Bak Penampungan Air Hujan Berbentuk Kubus Siswapelajar Com from id-static.z-dn.net
Oleh karena luas permukaan salah satu sisi kubus sama dengan s 2 (s × s), mengakarkannya akan menghasilkan panjang rusuk kubus. Sebuah bak mandi berbentuk kubus memiliki panjang rusuk 1,4 m. Jika volume suatu kubus 3 375 cm3 maka panjang rusuk kubus tersebit adalah cm brainly co id. Joglen mempunyai kotak mainan yang berukuran panjang 50 cm, lebar 25 cm, dan tinggi 40 cm. Diketahui sebuah volume kubus adalah 1331 cm³. Di ketahui = v = 1331 cm 3. Tentukan panjang rusuk kubus jika diketahui luas permukaan kubus adalah 150 cm kubik. Diketahui bahwa luas total keenam permukaan kubus adalah 54 cm 2 maka panjang rusuk kubus tersebut adalah?

Diketahui volume balok = 72 cm³,.

Cara menghitung volume kubus jika diketahui panjang rusuknya youtube. Kubus berarti sisinya juga sama dengan tingginya (karena semua sisi sama ya). Mencari akar pangkat tiga dengan mengidentifikasi bilangan satuannya. Diketahui keliling alas sebuah kubus 36 cm volume kubus tersebut. Akar tiga dari 13824 adalah 24 cm. Jadi volume dari kubus tersebut adalah 343 cm 3. Jawab volume kubus = r^3 = 9^3 = 9 x 9 x 9 = 729 cm^3 jadi volume kubus mainan andra adalah 729 cm^3 4. Sehingga diperoleh rusuk kubus adalah 20 cm. Diketahui sebuah kubus memiliki panjang rusuk 5 cm. Kalau panjang rusuk sudah diketahui, anda sudah bisa mencari volume kubus menggunakan rumus biasa. Jadi hf = 2√6 cm. Diketahui sebuah bangun ruang kubus dengan panjang sisi sebuah kubus sebesar 20 cm, maka hitunglah volume, keliling dan luas permukaan kubus tersebut. Suatu kubus memiliki volume 8000 cm³.

Jika panjang rusuk sebuah kubus kedua adalah k kali rusuk kubus pertama maka volume kubus kedua. Dalam contoh soal, √8,33 kurang lebih adalah 2,89 cm. Bila yang diketahui total panjang rusuk kubus Di ketahui v 1331 cm 3. Contoh soal menghitung rumus volume balok.

Sebuah Kubus Mempunyai Volume 8000 Cm3 Panjang Rusuk Kubus Tersebut Adalah Brainly Co Id
Sebuah Kubus Mempunyai Volume 8000 Cm3 Panjang Rusuk Kubus Tersebut Adalah Brainly Co Id from id-static.z-dn.net
Kita cari dulu sisinya dengan mengakar tigakan volume. 1331 = s x s x s Diketahui sebuah kubus memiliki luas 23 cm, maka berapa. Volume kubus = 125 cm³. Jadi, panjang rusuk kubus tersebut adalah 5 cm. Diketahui jumlah panjang seluruh rusuk kubus = 108 cm ingat bahwa kubus memiliki 12 rusuk, maka panjang rusuk kubus tersebut 108 : Panjang hp = √6 cm dan panjang dh = 2√3 cm, maka panjang dp adalah Panjang diagonal sisinya = 10√2 cm.

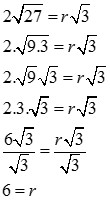
Jika diketahui volume kubus, maka panjang rusuk dapat dicari dengan rumus :

Volume kubus dan cara mencari panjang rusuknya youtube. Berarti tingginya juga 24 cm. Mencari volume kubus jika diketahui diagonal ruangnya 10akar12 de eka sas. Karena dan , maka panjang. Oleh karena luas permukaan salah satu sisi kubus sama dengan s 2 (s × s), mengakarkannya akan menghasilkan panjang rusuk kubus. Diketahui jumlah panjang seluruh rusuk kubus = 108 cm ingat bahwa kubus memiliki 12 rusuk, maka panjang rusuk kubus tersebut 108 : Dalam contoh soal, √8,33 kurang lebih adalah 2,89 cm. Jika s merupakan proyeksi titik c pada bidang afh, maka jarak titik a ke titik s adalah. Di ketahui sebuah volume kubus adalah 1331 cm 3 tapi panjang dari rusuk kubus tersebut belum ada , maka kalian harus mencari berapa kah panjang rusuk dari kubus tersebut ? Panjang dari rusuk kubus tersebut belum diketahui, maka berapakah panjang rusuk dari kubus tersebut ? = 8000 x 1 cm³. Diketahui sebuah kubus memiliki panjang rusuk 5 cm. Panjang diagonal sisinya = 6√2 cm.

Jadi, panjang rusuk kubus tersebut adalah 5 cm. Diketahui sebuah bangun ruang kubus dengan panjang sisi sebuah kubus sebesar 20 cm, maka hitunglah volume, keliling dan luas permukaan kubus tersebut. Tentukan panjang rusuk kubus jika diketahui luas permukaan kubus adalah 150 cm kubik. = 8000 x 1 cm³. V = 2.744 dm² jadi air yang dibutuhkan adalah 2.744 liter 2.

Cara Mencari Panjang Rusuk Kubus Cara Golden
Cara Mencari Panjang Rusuk Kubus Cara Golden from i.ytimg.com
Jika kubus memiliki rusuk 6 cm, maka : Terima kasih telah membaca artikel di website kabarpandeglang.com, semoga bisa memberikan informasi yang bermanfaat bagi kamu dan bisa dijadikan referensi. Jadi volume dari kubus tersebut adalah 343 cm 3. Suatu kubus memiliki volume 8000 cm³. Kemudian, panjang adalah sebagai berikut. Langkah selanjutnya kita cari panjang rusuk kubus. Cara menghitung volume kubus jika diketahui panjang rusuknya youtube. Di ketahui sebuah volume kubus adalah 1331 cm 3 tapi panjang dari rusuk kubus tersebut belum ada , maka kalian harus mencari berapa kah panjang rusuk dari kubus tersebut ?

V = s x s x s.

Maka dari sini bisa ditemukan jika panjang rusuk dari kubus tersebut adalah 11 cm. Volume kubus = 1331 cm3. Di tanya = panjang rusuk kubus ? Balok panjang 24cm lebar 9cm dan tinggi 8cm jika volume kubus. Panjang hp = √6 cm dan panjang dh = 2√3 cm, maka panjang dp adalah Volume kubus = s x s x s. Contoh soal menghitung rumus volume balok. Di ketahui = v = 1331 cm 3. Terima kasih telah membaca artikel di website kabarpandeglang.com, semoga bisa memberikan informasi yang bermanfaat bagi kamu dan bisa dijadikan referensi. Jawab volume kubus = r^3 = 9^3 = 9 x 9 x 9 = 729 cm^3 jadi volume kubus mainan andra adalah 729 cm^3 4. Diketahui sebuah bangun ruang kubus dengan panjang sisi sebuah kubus sebesar 20 cm, maka hitunglah volume, keliling dan luas permukaan kubus tersebut. Jadi volume dari kubus tersebut adalah 343 cm 3. Banyaknya kubus kecil yang dapat dimuat kotak mainan tersebut adalah.

Post a Comment for "Diketahui Volume Kubus 8000 Cm Maka Panjang Rusuk Kubus Adalah - Left 10right Tentukan V Descubre Como Resolverlo En Qanda - V = s x s x s."